KAIST, 초고속 자성메모리에 쓰이는 스핀소재 개발
KAIST, 초고속 자성메모리에 쓰이는 스핀소재 개발
  • 이성현 기자
  • 승인 2022.04.27 13:00
  • 댓글 0
이 기사를 공유합니다

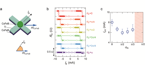
삼중층 구조에서의 무자기장 스핀궤도토크 스위칭 소자 구소 및 특성 그래프
삼중층 구조에서의 무자기장 스핀궤도토크 스위칭 소자 구소 및 특성 그래프

[충청뉴스 이성현 기자] 국내 연구진이 초고속 자성메모리에 쓰이는 새로운 스핀소재 기술을 개발했다.

한국과학기술원(KAIST)은 27일 신소재공학과 박병국 교수와 물리학과 이경진 교수 공동연구팀이 고속 동작 비휘발성 메모리로 개발 중인 스핀궤도토크 자성메모리(이하 SOT-MRAM)의 에너지 소비 전력을 획기적으로 감소시킬 스핀소재 기술을 개발했다고 밝혔다.

SOT-MRAM은 고속 동작 및 높은 안정성의 특성으로 차세대 자성메모리로 주목받고 있지만 자화 스위칭을 위해서 외부자기장의 인가가 필수적이고, 스위칭 전류가 기존의 스핀전달토크 자성메모리(STT-MRAM)보다 커서 자성메모리 동작 전력이 많이 소모되는 단점을 가지고 있다.

이에 연구팀은 새로운 스핀소재 구조, 즉 단결정 강자성·전이금속 이중층 구조에서 세 방향의 스핀분극을 가진 스핀 전류가 생성됨을 이론 및 실험으로 밝히고, 이를 조합해 자성메모리의 동작 에너지를 결정하는 자화반전 스위칭 전류를 효과적으로 감소시키는 결과를 발표했다.

이 신소재는 스핀궤도토크 효율을 높이고 외부자기장 없이 동작이 가능하므로 SOT-MRAM의 실용화를 앞당길 수 있을 것으로 기대된다.

SOT-MRAM은 고속 동작 및 비휘발성 특성으로 기존 반도체 소자 대기전력을 감소시켜, 저전력을 필수로 요구하는 모바일, 웨어러블, IoT(사물인터넷)용 메모리로 활용 가능성이 크다.

이번 연구에서 연구팀은 높은 결정성을 나타내는 단결정 강자성 소재와 전류의 이중층 구조에서 x, y, z의 세가지 방향의 스핀분극을 가진 스핀전류가 생성될 수 있음을 이론과 실험으로 증명했다. 또 자화방향과 전류방향을 제어해 스핀토크 효율이 최대가 되는 조건을 확보해 스위칭 전류를 획기적으로 감소시키는 기술 개발에 성공했다. 이 기술은 SOT-MRAM의 동작 소모전력을 감소시키는 핵심 소재 기술로 활용될 것으로 기대된다.

제1 저자 류정춘 박사는 "이번 연구는 자성메모리 내에서 여러 방향의 스핀 전류를 동시에 생성 및 제어할 수 있음을 실험으로 규명한 것으로 저전력으로 구동하는 스핀트로닉스 소자 개발에 활용될 수 있을 것“이라고 설명했다.

기사가 마음에 드셨나요?

충청뉴스 좋은 기사 후원하기


※ 소중한 후원금은 더 좋은 기사를 만드는데 쓰겠습니다.


댓글삭제
삭제한 댓글은 다시 복구할 수 없습니다.
그래도 삭제하시겠습니까?
댓글 0
댓글쓰기
계정을 선택하시면 로그인·계정인증을 통해
댓글을 남기실 수 있습니다.