[충청뉴스 이성현 기자] 국내연구진이 스핀트로닉스 소자 응용 가능성과 높은 전기적 분극, 낮은 스위칭 에너지 값 등 강유전 특성을 동시에 보이는 새로운 다기능 고효율 소자 연구를 통해 차세대 반도체 소재 개발의 단초를 제시했다.
한국연구재단은 국립부경대학교 홍지상 교수 연구팀이 벌크 형태 산화망간(MnO)의 자기적·전기적 특성을 이론적으로 연구해 기존의 페로프스카이트 기반 물질보다 뛰어난 강유전 특성을 보일 가능성이 있음을 제시했다고 16일 밝혔다.
최근 제시된 얼터마그넷은 반강자성물질의 한 형태로 기존 반강자성체와 비교하여 운동량 공간의 일부에서 전자들의 가지는 스핀분극 밴드가 갈라지는 현상을 보이는 특성이 있다.
얼터마그넷의 스핀트로닉스 소자응용 가능성을 확인하기 위해 물질 합성 및 전자구조 특성 등 다양한 기초연구가 추진되고 있지만, 아직까지 강유전 특성은 밝혀지지 않았다.
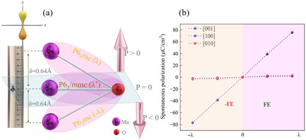
연구팀은 제일원리 계산을 통해 벌크형태의 MnO 물질에서 구현되는 자기적, 전기적 특성을 연구하였으며, 얼터마그넷이 강유전체 현상이 구현가능하다는 결과를 도출했다.
또 MnO 물질은 페로프스카이트 기반 물질보다 높은 전기적 분극, 낮은 스위칭 에너지 값을 보여 차세대 반도체 소재로의 활용 가능성을 발견했다.
연구팀은 앞으로 MnO 물질을 이용하여 스핀트로닉스, 강유전, 압전특성 등 상온에서 구현되는 고효율 자성체 물질의 제시 및 특성에 대한 이론적 연구를 추진할 계획이다.
홍지상 교수는 “이번 연구를 통해 다기능 소자로서 얼터마그넷의 가능성을 이론적으로 제시했다”며 “이론 연구결과를 바탕으로 실재 소자합성 및 성능테스트 등 관련분야 연구활성화에 기여할 것으로 예상된다”고 설명했다.

